Guía del IPN 2023 Resuelta - Parte 7
Continuamos con la parte 7 de la guía del IPN 2023 Resuelta - Parte de Álgebra. Es importante esperar que la página cargue completamente para poder apreciar las ecuaciones claramentes.


Solución:
Para relacionar las columnas es necesario identificar la función (columna izquierda) con su ejemplo (columna derecha) correspondiente.
Las funciones senoidales son funciones que están representadas por las funciones trigonométricas seno, cosen, tangente o sus inversas. (1B)
$\displaystyle 4x-3sen(2x)$
Las funciones racionales son funciones que se escriben como la razón de dos polinomios (2E)
$\displaystyle x-\left( {\frac{1}{x}-2} \right)$
Las funciones cuadráticas son polinomios de segundo grado en este caso de una sola variable. (3A)
$\displaystyle 3\left( {x-3} \right)\left( {\frac{1}{3}x-1} \right)$
Las funciones lineales son polinomios de primer grado (4C)
$\displaystyle x-4\left( {\frac{1}{3}x-6} \right)=-\frac{1}{3}x+24$
Las funciones exponenciales son aquellas en la que el argumento o exponente es una función de x (5D)
$\displaystyle {{5}^{{2x-1}}}$
Por lo tanto, la relación de columnas correcta es 1B, 2E, 3A, 4C, 5D
Por lo que la respuesta corresponde al inciso b

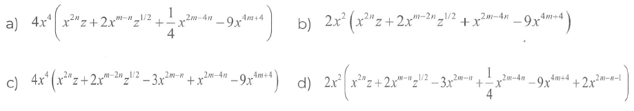
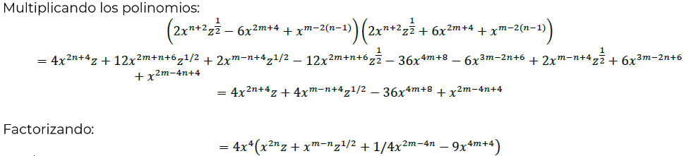
Solución:
Se multiplican los polinomios, tal como se muestra en la imagen, después se factoriza:

Por lo que la respuesta correcta es el inciso a


Solución:
Es necesario relacionar la columna del polinomio (izquierda) con las raíces que le corresponden en la factorización (columna derecha). Es necesario recordar que los polinomios se expresan como factores lineales de sus raíces.
Partiendo de la cuadrática y factorizando, las raíces son reales y distintas $\displaystyle {{x}_{1}}=2$ y $\displaystyle {{x}_{2}}=-3$ (1D)
$\displaystyle {{x}^{2}}+x-6=\left( {x+3} \right)\left( {x-2} \right)$
Del polinomio $\displaystyle {{x}^{2}}+4$ se tiene que $\displaystyle {{x}^{2}}=-4$ , se sigue:
$\displaystyle {{x}_{{1,2}}}=\pm \sqrt{{-4}}=\pm \sqrt{{{{i}^{2}}{{2}^{2}}}}=\pm i2$ Las raíces no son reales (2B)
El polinomio se expresa como $\displaystyle {{x}^{2}}-8x+16={{\left( {x-4} \right)}^{2}}=0$ , entonces la raíz es $\displaystyle x=4$ , una raíz doble o de multiplicidad dos (3A)
$\displaystyle {{x}^{2}}+4x+4=\left( {x-\left( {2+2i} \right)} \right)\left( {x-2\left( {2-2i} \right)} \right)$ Las raíces son complejas conjugadas.
Por lo tanto la reación correcta de columnas es 1D, 2B, 3A, 4C, que corresponden al inciso c

Solución:
Para simplificar, se requiere de factorizar cada una de las expresiones, así:
$\displaystyle \left( {\frac{{3{{x}^{3}}+7{{x}^{2}}-40x}}{{{{x}^{3}}-2{{x}^{2}}-35x}}} \right)\left( {\frac{{{{x}^{3}}-14{{x}^{2}}+49x}}{{3{{x}^{2}}-8x}}} \right)$
Factorizando se tiene:
$\displaystyle \left( {\frac{{x\left( {3{{x}^{2}}+7x-40} \right)}}{{x\left( {{{x}^{2}}-2x-35} \right)}}} \right)\left( {\frac{{x\left( {{{x}^{2}}-14x+49} \right)}}{{x\left( {3x-8} \right)}}} \right)$
Después:
$\displaystyle \frac{{x\left( {3x-8} \right)\left( {x+5} \right)}}{{x\left( {x-7} \right)\left( {x+5} \right)}}\cdot \frac{{x{{{\left( {x-7} \right)}}^{2}}}}{{x\left( {3x-8} \right)}}$
$\displaystyle x-7$
Por lo que la respuesta correcta es el inciso c

Solución:
Realizar la división de polinomios.
Método para dividir polinomios de una variable.
- Ordenamos el dividendo y el divisor según las potencias decrecientes de la variable
- Dividimos el término primero del dividendo entre el término primero del divisor para obtener el primer término del cociente
- Multiplicamos el divisor por el primer término del cociente y le restamos al dividendo el resultado anterior para conseguir el primer resto parcial
- Repetimos el procedimiento ahora dividiendo el primer resto parcial. La división finaliza cuando el grado del resto es menor que el grado divisor.

Por lo que la respuesta es el inciso a

Solución:
La igualdad de polinomios es válida si y solo si sus coeficientes son iguales:
$\displaystyle 2A{{x}^{2}}+Ax+C=-5{{x}^{2}}+\left( {2B+1} \right)x+3$
De este criterio se sigue:
$\displaystyle 2A=-5$
$\displaystyle A=\left( {2B+1} \right)$
$\displaystyle C=3$
De la primera ecuación $\displaystyle A=-\frac{5}{2}$ , de la tercera $\displaystyle C=3$ y de la segunda al sustituir a $\displaystyle 2B=-\frac{7}{2}$ , entonces $\displaystyle B=-\frac{7}{4}$ por lo que la respuesta corresponde al innciso b

Solución:

Por lo que la respuesta es el inciso d

Solución:
Para resolver el sistema de ecuaciones:
$\displaystyle \begin{array}{l}-x-2y=-3\\-4x-5y=-6\end{array}$
Utilizamos alguno de los métodos, como por ejemplo igualación. Al multiplicar la primer por 4 tenemos:
$\displaystyle \begin{array}{l}-4x-8y=-12\\-4x-5y=-6\end{array}$
Igualando ambas ecuaciones:
$\displaystyle -12+8y=-6+5y$
$\displaystyle 3y=6$
$\displaystyle y=2$
Sustituyendo en alguna de las ecuaciones:
$\displaystyle x=3-2y=3-2\left( 2 \right)$
$\displaystyle x=-1$
Por lo que la respuesta es el inciso c
Solución:

Solución:
Las soluciones en la base se identifican resolviendo el sistema de ecuaciones correcto en el inciso a) , utilizando alguno de los métodos de solución se encuentra lo siguiente:
Multiplicando por 2 la segunda y sumando se encuentra:
$\displaystyle \begin{array}{l}2x-2y=5\\-6x+2y=8\end{array}$
Sumando $\displaystyle -4x=-3$ entonces $\displaystyle x=\frac{3}{4}$
Sustituyendo en la primera tenemos $\displaystyle y=-\frac{7}{4}$
El sistema de ecuaciones que le corresponde, es el inciso a)
$\displaystyle \begin{array}{l}2x-2y=5\\-3x+y=-4\end{array}$

Solución:
Se plantea un sistema de ecuaciones por cada tienda:
$\displaystyle 1200P1+700P2=66000$
$\displaystyle 2000P1+1500P2=130000$
Resolviendo el sistema de ecuaciones por algún método se tiene:
$\displaystyle P1=20.00$
$\displaystyle P2=60.00$
Por lo que la respuesta es el inciso c


Solución:
Primero identificamos en la gráfica solo las raíces reales del polinomio las cuales son:
$\displaystyle x=-2$ se puede escribir como $\displaystyle \left( {x+2} \right)$
$\displaystyle x=3$ se puede escribir como $\displaystyle \left( {x-3} \right)$
$\displaystyle x=5$ se puede escribir como $\displaystyle \left( {x-5} \right)$
El polinomio se escribe como el producto de sus raíces:
$\displaystyle p(x)=\left( {x+2} \right)\left( {x-3} \right)\left( {x-5} \right)$
Desarrollando los productos:
$\displaystyle p(x)={{x}^{3}}-6{{x}^{2}}-x+30$
Por lo que es la respuesta del inciso b
Si quieres conocer otros artículos parecidos a Guía del IPN 2023 Resuelta - Parte 7 puedes visitar la categoría Guías de Estudio.
Deja una respuesta

Estos temas te pueden interesar