Guía del IPN 2023 Resuelta - Parte 3
Seguimos con los demás ejercicios de Pensamiento Matemático, parte 3. (21 a 30)


Solución:
En la figura el punto se alterna en las esquinas opuestas. La línea gira en sentido de las manecillas del reloj saliendo del centro del vértice, pero se completa la línea si se dirige a un lado del cuadrado. Por lo tanto, la figura que continua en la sucesión es, la del inciso c


Solución:
Una forma fácil de darnos cuenta de observar quien falta en la secuencia es partiendo de las operaciones de las esquina izquierda y centro, es decir, en el primer círculo tenemos a 1 y 2 juntos, que multiplicados nos devuelve el otro valor de la esquina, que es 2. Lo mismo sucede con los demás círculos.

Aunque no solo sirve con esa operación, también funciona multiplicando el número del centro por el de la esquina derecha:

Si seguimos el mismo proceso con los demás círculos llegaremos a la conclusión que esto debe repetirse en cualquier esceneario, entonces el único círculo que nos devuelve las operaciones es el del inciso b

Solución:
Podemos realizar la operación de forma horizontal (fila)
$\displaystyle 4+A+2=15$
$\displaystyle 6+A=15$
$\displaystyle A=15-6=9$
Por lo tanto A = 9
Probando con la tercera fila
$\displaystyle 8+D+6=15$
$\displaystyle D=1$
Es decir D = 1
Probando las operaciones de forma vertical (columna)
$\displaystyle 4+B+8=15$
$\displaystyle B=3$
Por lo tanto B = 3
y finalmente
$\displaystyle 2+C+6=15$
$\displaystyle C=7$
Por lo tanto C = 7
entonces la respuesta corresponde al inciso c

Solución:
Basta en echar a volar nuestra imaginación, para darnos cuenta que el primer movimiento para generar la figura B, es:
- Girar 90° alrededor del eje "x"
- Girar 90° alrededor del eje "y"
- Girar 180° alrededor del eje "z"
Los demás distractores no nos llevan al lugar que deseamos obtener. Por lo que la respuesta correcta corresponde al inciso c


Solución:
La figura que no corresponde a la figura es la del sólido del inciso c, puesto que en esa figura se observa que no tiene dos dobleces, solamente uno. Por lo que no cumple a diferencia de las demás. Así que la respuesta correcta es el inciso c


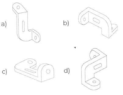
Solución:
Las proyecciones corresponden a la figura D porque tiene un corte en diagonal y dos perforaciones, una superior de un extremo al otro y una lateral. Por lo tanto la respuesta corresponde al inciso d


Solución:
Los dobleces van reduciendo la hoja por la mitad cada vez, al final quedará un cuadrado pequeño en el que se cortan dos cuadrados en las esquinas opuestas y una circunferencia en el centro. La figura que se obtiene del corte es la del inciso C


Solución:
Las caras de cada cubo están enumeradas como se observa en el cubo pequeño (Figura N).
Es importante para la solución indicar que cada cara adyacente coincide en la numeración, es decir: si dos caras son adyacentes entonces éstas tendrán el mismo número, cómo se muestra en la siguiente imagen al descubir las posiciones de los cubos.

Por lo que la orientación del cubo que falta y los valores de las letras serán los siguientes:

La única posibilidad para B = 6, con esto se cumple:
$\displaystyle A+B+C+D=13$
$\displaystyle 2+6+4+1=13$
Por lo que la respuesta le corresponde al inciso d


Solución:
Aunque parezca complicado este ejercicio, es más fácil de lo que parece, observe las partes iguales en los que se divide cada área sombreada.
La primera corresponde a una figura de lado "x" por lo que su área será:
$\displaystyle {{A}_{1}}=x\cdot x={{x}^{2}}$
La segunda imagen corresponde a un sexto, por sentido común:
$\displaystyle {{A}_{2}}=\frac{1}{6}{{x}^{2}}$
La tercera a un tercio.
$\displaystyle {{A}_{3}}=\frac{1}{3}{{x}^{2}}$
La cuarto a un medio:
$\displaystyle {{A}_{4}}=\frac{1}{2}{{x}^{2}}$
La quinta representa a un cuarto:
$\displaystyle {{A}_{5}}=\frac{1}{4}{{x}^{2}}$
Si ordenamos de mayor a menor, nos vamos a dar cuenta que:
$\displaystyle \left\{ {1{{x}^{2}},\frac{1}{2}{{x}^{2}},\frac{1}{3}{{x}^{2}},\frac{1}{4}{{x}^{2}},\frac{1}{6}{{x}^{2}}} \right\}$
De acuerdo a la numeración, sería 1, 4, 3, 5 y 2, es decir el inciso c


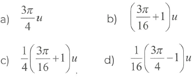
Solución:

Debemos de analizar cada parte blanca, para poder restar al total de área y así obtener lo que nos pide:
El total de la figura está dado por:
$\displaystyle {{A}_{1}}=\frac{{\pi {{D}^{2}}}}{4}=\frac{\pi }{4}$
Obtenemos la mitad de la figura total:
$\displaystyle 2{{A}_{D}}=2\left( {\frac{{{{A}_{1}}}}{4}} \right)=2\left( {\frac{\pi }{{16}}} \right)=\frac{\pi }{8}$
Los dos pequeños círculos, están dados por:
$\displaystyle 2\frac{{{{A}_{{\frac{1}{4}}}}}}{2}={{A}_{{\frac{1}{4}}}}=\pi \frac{{{{{\left( {\frac{1}{4}} \right)}}^{2}}}}{4}=\frac{\pi }{{64}}$
Y finalmente obtenemos el área de la otra fracción:
$\displaystyle {{A}_{I}}=\frac{1}{2}\cdot \frac{1}{2}-{{A}_{D}}=\frac{1}{4}-\frac{\pi }{{16}}$
Así sumando y restando las áreas tenemos:
$\displaystyle \frac{\pi }{4}-\frac{\pi }{8}-\left( {\frac{\pi }{{64}}} \right)-\frac{1}{4}-\frac{\pi }{{16}}=\frac{1}{4}\left( {\frac{{3\pi }}{{16}}+1} \right)$
Por lo que corresponde al inciso C
Si quieres conocer otros artículos parecidos a Guía del IPN 2023 Resuelta - Parte 3 puedes visitar la categoría Guías de Estudio.
Deja una respuesta

Estos temas te pueden interesar